Representações da trajetória

Espaço de juntas

  • Os parâmetros de movimento são definidos para as juntas
  • Computacional mente mais fácil

Espaço Cartesiano

  • Os movimentos são definidos para {T} em relação ao tempo
  • Mais custoso computacionalmente

Esquemas do espaço de juntas

  • Formas de percurso são descritas em termos de funções dos ângulos das juntas
  • Não leva a singularidades
  • Métodos para modelamento matemático
    • Polinômios cúbicos para trajetórias com pontos de passagem
    • Função linear com combinações parabólicas (splines)

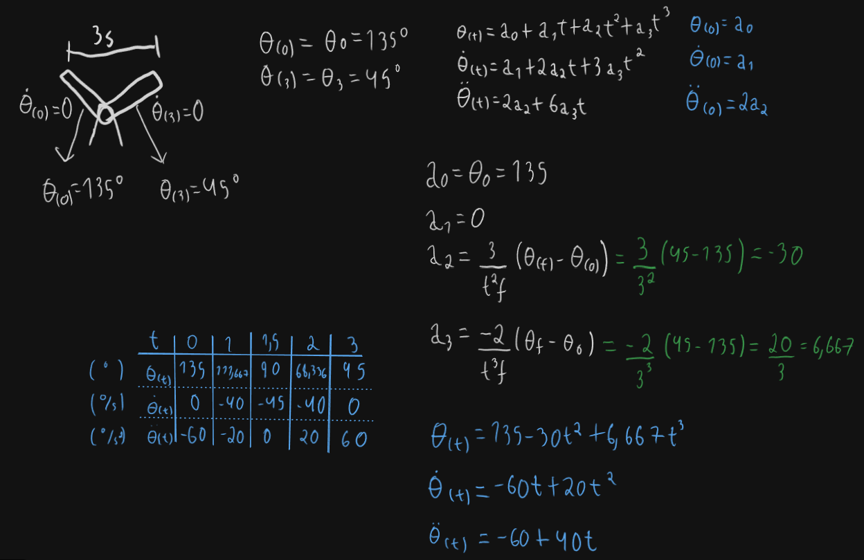
Polinômios cúbicos

  • Definir uma função para cada junta cujo valor em t0 seja sua posição inicial e em tf a sua posição meta
  • Restrições
    • Posições angulares definidas
    • Velocidades inicial e final iguais a zero
  • Atendidas por um polinômio de 3º grau
  • Então, a velocidade e a aceleração

Polinômios cúbicos com juntas de passagem

  • Em uma trajetória, normalmente não se deseja que o robô pare nos pontos de passagem
  • Velocidades inicial e final diferentes de 0
    • Usuário pode especificar
    • Sistema pode usar heurística para estimar automaticamente

Esquemas do espaço cartesiano

  • Aplica-se a trajetórias no sistema da ferramenta {T}
    • Meta é definir funções bem conhecidas de trajetória
      • Linha reta ou círculo/semicírculo
    • A trajetória é então suavizada
    • Em seguida, definem-se os pontos de passagem
    • Por fim, mapeia-se para o espaço das juntas
  • Problemas
    • Alto custo computacional
    • Pode levar a situações de singularidade do mecanismo

Geração de trajetórias em tempo de execução

  • O problema envolve calcular as variáveis de junta (posição, velocidade e aceleração) a cada instante t
    • No espaço de juntas: métodos que envolvem splines
      • Splines cúbicos
        • Função computada à medida que t avança
        • Ao fim de um segmento, um novo conjunto de coeficiente cúbicos é evocado e t é reiniciado em 0
      • Splines lineares com combinações parabólicas
        • t é verificado instantaneamente para determinar a porção linear ou combinatória da função
    • No espaço cartesiano
      • Computa-se a trajetória com spline combinada com parabólica no espaço cartesiano do TCP para cada instante t
      • Para cada solução, aplica-se a inversa da Jacobiana para obter as velocidades nas juntas, e a derivada para obter a aceleração

Problemas com espaço cartesiano

Pontos intermediários inalcançáveis

  • Podem existir pontos da trajetória que incidem fora do workspace. O movimento seria possível no espaço de juntas, mas no cartesiano não

Alta velocidade das juntas próxima a singularidades

  • Durante o percurso, se o manipulador aproximar-se de um ponto de singularidade, a velocidade da junta tenderia ao infinito, e pode forçar o desvio do curso.
  • No exemplo: quanto mais a trajetória aproximar-se do eixo da junta 1, maior será a velocidade. Uma solução seria reduzir a velocidade geral da trajetória.

Início e alvo atingíveis por diferentes soluções

  • Esse tipo de problema é, muitas vezes, inevitável, e piora à medida que aumenta o número de GDLs.
  • Estratégia geral: procurar definir movimentos no espaço de juntas para a maior parte da tarefa e deixar os movimentos em espaço cartesiano para situações realmente necessárias.

Outros problemas com trajetórias

Modelo dinâmico

  • Alterações (atrito, força, carga) e diferentes direções (gravidade) podem alterar os parâmetros de aceleração

Colisão com obstáculos

  • Trajetórias fixas não prevêem alterações no ambiente
  • Quanto mais obstáculos, mais pontos de passagem
  • Cooperação com dispositivos ou outros manipuladores